拓利汇评6.146月黄金价格创下三个月新高!
周五国际金价涨至1350美元/盎司,为2018年4月以来高点,日内涨幅0.68%;国际银价涨至15美元/盎司,日内涨幅0.64%,为一周新高。此外,COMEX期金日内涨近1%。6月以来,由于贸易不确定性持续,投资者纷纷转向黄金避险,6月黄金价格创下三个月新高。与此同时,由于市场越来越倾向于押注美联储在未来几个月降息,美元本周三一度跌至11周低点。再加之周四的油轮爆炸事件进一步加大了原油市场的波动性,进一步点燃了投资者的避险热情。
黄金日内涨破1350美元关口,并有望测试去年高位。随着全球各国央行立场越来越鸽派,黄金作为避险资产的吸引力正在回升。在这一背景下,难以判断黄金是否会升至1357-1365美元区间后触顶。若美联储决定降息,黄金今年有望成为表现最佳的资产之一。如果目前趋势继续发展下去,黄金升至1400美元关口也大有可能。今晚20:30,美国将公布有“恐怖数据”之称的5月零售销售月率,将引爆行情。
石油方面,欧佩克月报新鲜出炉,数据显示5月原油产出为2988万桶/日,较上月减少23.6万桶/日。报告显示,5月沙特、伊朗原油产量继续下滑,伊拉克和安哥拉原油日产量则录得上涨。在需求方面,报告指出贸易形势正在损害全球原油需求,下半年原油需求前景面临显着下行风险,并将第一季度原油需求增速年率下调至90万桶/日。
日内关注:
16:00IEA公布月度原油市场报告。
20:30美国5月零售销售月率
21:15美国5月工业产出月率
22:00美国4月商业库存月率
22:00美国6月密歇根大学消费者信心指数初值
技术面:
欧元兑美元

(欧元兑美元日线图)
从欧元兑美元日线图来看,价格上涨至前期压力区附近出现吞没看跌K线形态,反弹恐将结束。
压力:1.1300—1.1400
支撑:1.1000—1.1100
1.1300附近做空,止损1.1330,目标1.1200
纽元兑美元

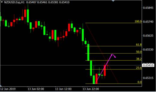
(纽元兑美元1小时图)
从纽元兑美元1小时图来看,价格即将反弹至黄金分割位50%的位置,若上行遇阻,反弹行情即将结束。
压力:0.6600—0.6650
支撑:0.6400—0.6500
0.6550附近做空,止损0.6580目标0.6500
国际黄金

(国际黄金1小时图)
从国际黄金1小时图来看,价格突破前期高点之后出现暴涨,多头势头虽强,但金价已刷新一年高点,回调危险逼近。
压力:1350—1370
支撑:1310—1320
1357附近做空,止损1360,目标1350
国际白银

(国际白银1小时图)
从白银1小时图来看,行情即将涨至前期压力区附近恐将再度回调,建议多单可以考虑逢高获利了结。
压力:15.00—16.00
支撑:13.00—14.00
15.00附近做空,止损15.30,目标14.00
原油

(WTI原油日线图)
从WTI原油日线图来看,行情下跌末期出现W底反转K线形态,反弹行情即将展开。
压力:56.00—58.00
支撑:51.00—53.00
52.00附近做多,止损51.70,目标53.00
(拓利服务中心分析师个人建议仅供参考,并不代表TriltLimited对于投资者的任何直接操作建议,投资者据此入市风险自负)
2019-06-14




